A new paper in the European Journal of Political Research (full text) provides data about popular support for allotted citizens’ assemblies in Western Europe. The countries surveyed were: Austria, Belgium, Denmark, Finland, France, Germany, Greece, Italy, Ireland, Netherlands, Norway, Portugal, Spain, Sweden, and the UK.
Public Support for Deliberative Citizens’ Assemblies Selected through Sortition: Evidence from 15 Countries
Jean-Benoit Pilet*, Damien Bol**, Davide Vittori*, and Emilien Paulis*
*Université libre de Bruxelles, Belgium
** King’s College London, United KingdomAbstract
As representative democracy is increasingly criticized, a new institution is becoming popular among academics and practitioners: deliberative citizens’ assemblies. To evaluate whether these assemblies can deliver their promise of re-engaging the dissatisfied of representative politics, we explore who supports them and why. We build on a unique survey conducted with representative samples of 15 Western European countries and find, first, that the most supportive respondents are those who are less educated, have a low sense of political competence and an anti-elite sentiment. Thus, support does come from the dissatisfied. Second, we find that this support is for a part ‘outcome contingent’, in the sense that it changes with people’s expectations regarding the policy outcome from deliberative citizens’ assemblies. This second finding nuances the first one and suggests that while deliberative citizens’ assemblies convey some hope to re-engaged disengaged citizens, this is conditioned to the hope of a favourable outcome.
Despite emphasizing the “deliberative” label in the title of the paper, the question measuring support for allotted assemblies makes no mention of this obfuscatory term and instead focuses directly on decision-making power:
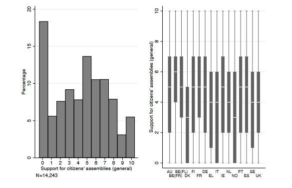
Overall, do you think it is a good idea to let a group of randomly-selected citizens make decisions instead of politicians on a scale going from 0 (very bad idea) to 10 (very good idea)?
The median response was 4.32, which is pretty impressive for such a radical idea. The chart below shows the distribution of responses. It is interesting to note that (if I read the chart correctly) the two countries with the lowest median support for the idea (3/10) are Denmark and Norway – the two Scandinavian countries in the survey. Those countries are among those with the highest level in the Western world of satisfaction with current government.
Filed under: Academia, Opinion polling, Press, Sortition | 15 Comments »

